回答(1)
最佳
Adam2022-04-11 15:29:08
同学你好,这个知识点老师在基础班上其实已经讲过了的。
建议去看一下基础班的视频哈
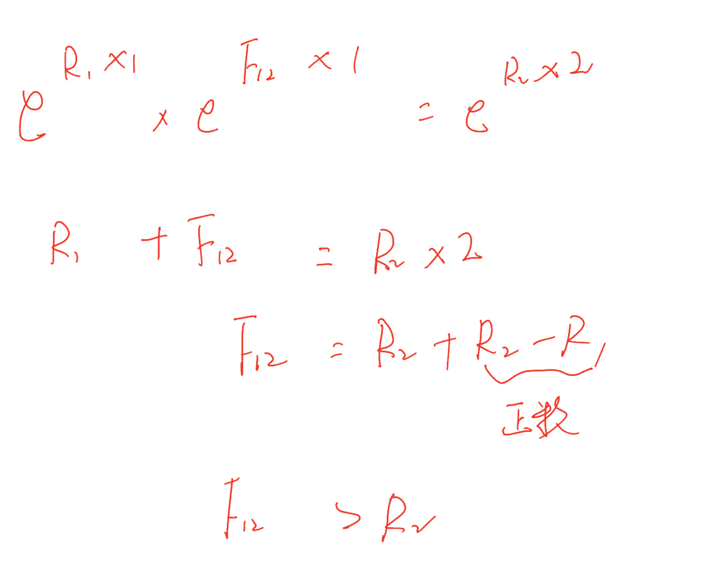
比如forward与spot之间的关系,可以这样进行分析,如下图,upward条件下,这可以看出forward rate大于spot rate。
至于视频,在近期,部分题目是没有视频解析的,这些题目是百题的内容,你也可以直接看百题的视频解析。后续我们会进行录制上传的。
- 评论(0)
- 追问(2)
- 追问
-
老师,您这个讲解我看懂了。是说在upward sloping情况下,远期利率高于即期利率。但是跟答案里的zero coupon curve和coupon-bearing curve有什么关系呢?
- 追答
-
同学你好,
zero coupon curve其实就是spot rate。【spot rate的基本定义就是零息债券的YTM】
coupon-bearing curve,就是普通债券的YTM
评论
0/1000
追答
0/1000
+上传图片

