Xiaott2022-04-10 13:23:46
第700题是什么意思呢?ATM的期权 delta近似0.5 基本上也不随着时间变化 为啥还需要卖股票呢?
回答(1)
吴珮瑶2022-04-11 14:03:00
同学你好,计算需要多少去对冲delta
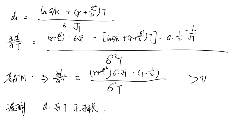
对于ATM期权,d1与T正相关。
所以越临近到期,d1就会减小。
d1减小了,N(d1)就小了
- 评论(0)
- 追问(0)
评论
0/1000
追答
0/1000
+上传图片


