任同学2022-04-01 11:52:17
这个权重是怎么算的
回答(1)
最佳
Adam2022-04-01 14:13:51
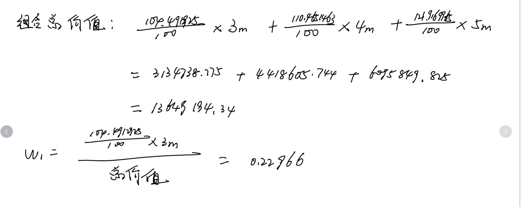
同学你好,如下图
- 评论(0)
- 追问(0)
评论
0/1000
追答
0/1000
+上传图片


