天堂之歌

听歌而来,送我踏青云〜

您现在的坐在位置:首页>智汇问答>FRM问答

急同学2021-05-04 14:12:45

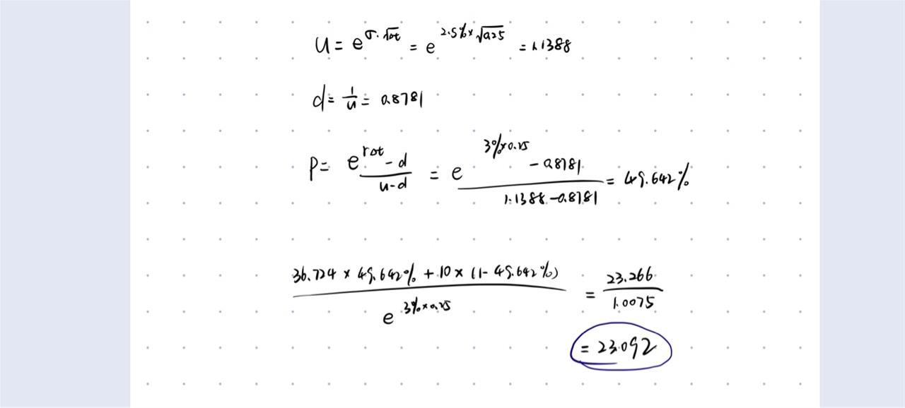
23.092是如何计算出来的呢?

查看试题

回答(1)

Millie2021-05-06 16:59:11

同学你好,23.092是后面节点的价值的折现,如图

  • 评论(0
  • 追问(0
评论

精品推荐

评论

0/1000

追答

0/1000

+上传图片

    400-700-9596
    (每日9:00-21:00免长途费 )

    ©2026金程网校保留所有权利

    X

    注册金程网校

    验证码

    同意金程的《用户协议》
    直接登录:

    已有账号登录