cy2020-10-18 23:11:30
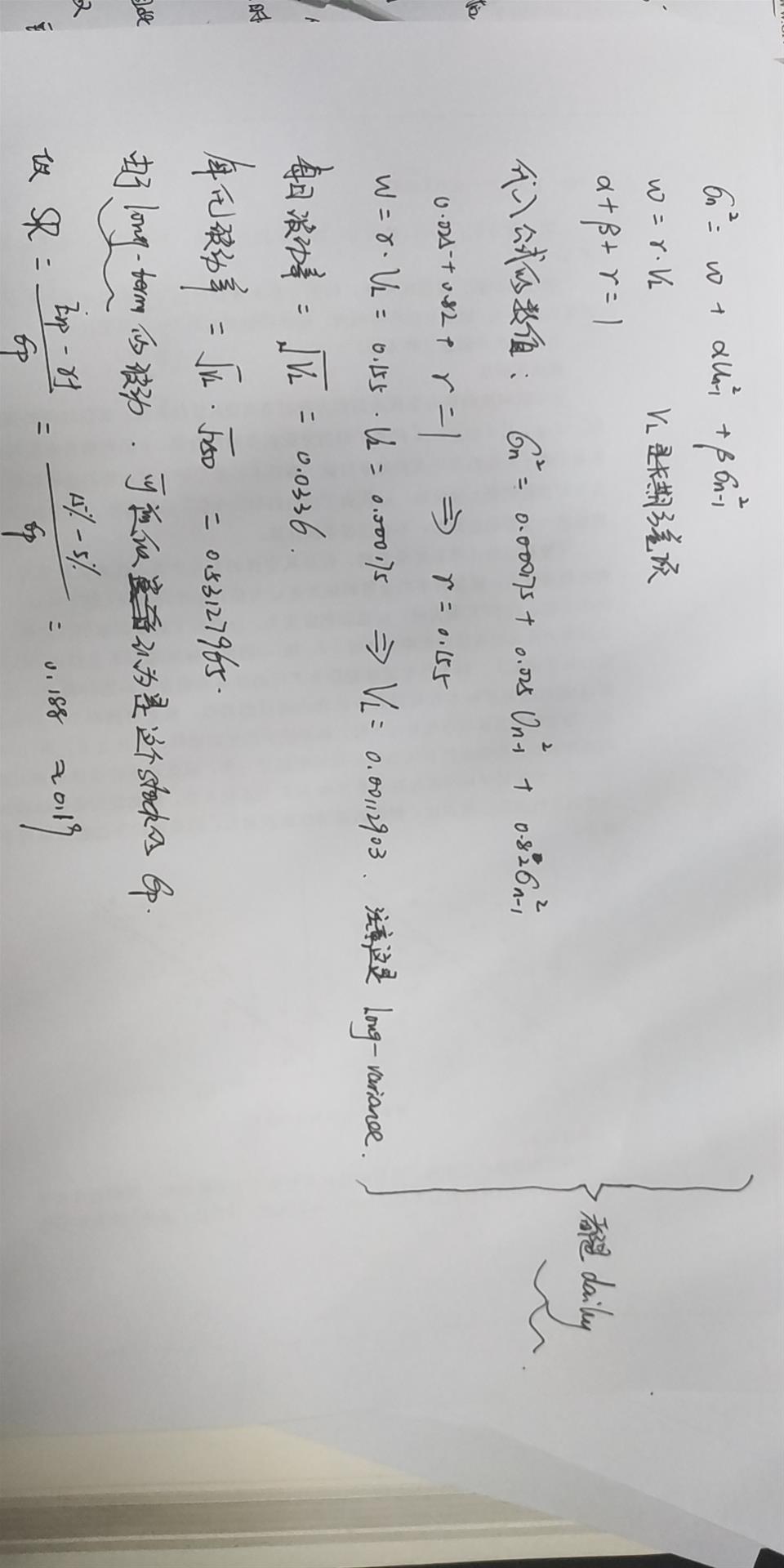
sharp ratio分母不是用 portfolio 的volatility 嗎? 但這裡用的是VL 再乘開方250?指的是long term年化的volatility
回答(1)
Adam2020-10-21 14:26:44
同学你好,是用组合的波动率
由于长期方差是未来相当长一段时间的方差,所以可以近似认为就是组合的方差。
所以我们可以算出波动率。
但请注意,这波动率是每日的波动率。需要转化成年化的波动率
- 评论(0)
- 追问(0)
评论
0/1000
追答
0/1000
+上传图片


