776lucky2020-10-18 16:05:23
bsm price 46怎么算出来的。以及后面cost为什么乘以2m
回答(1)
Adam2020-10-19 15:48:50
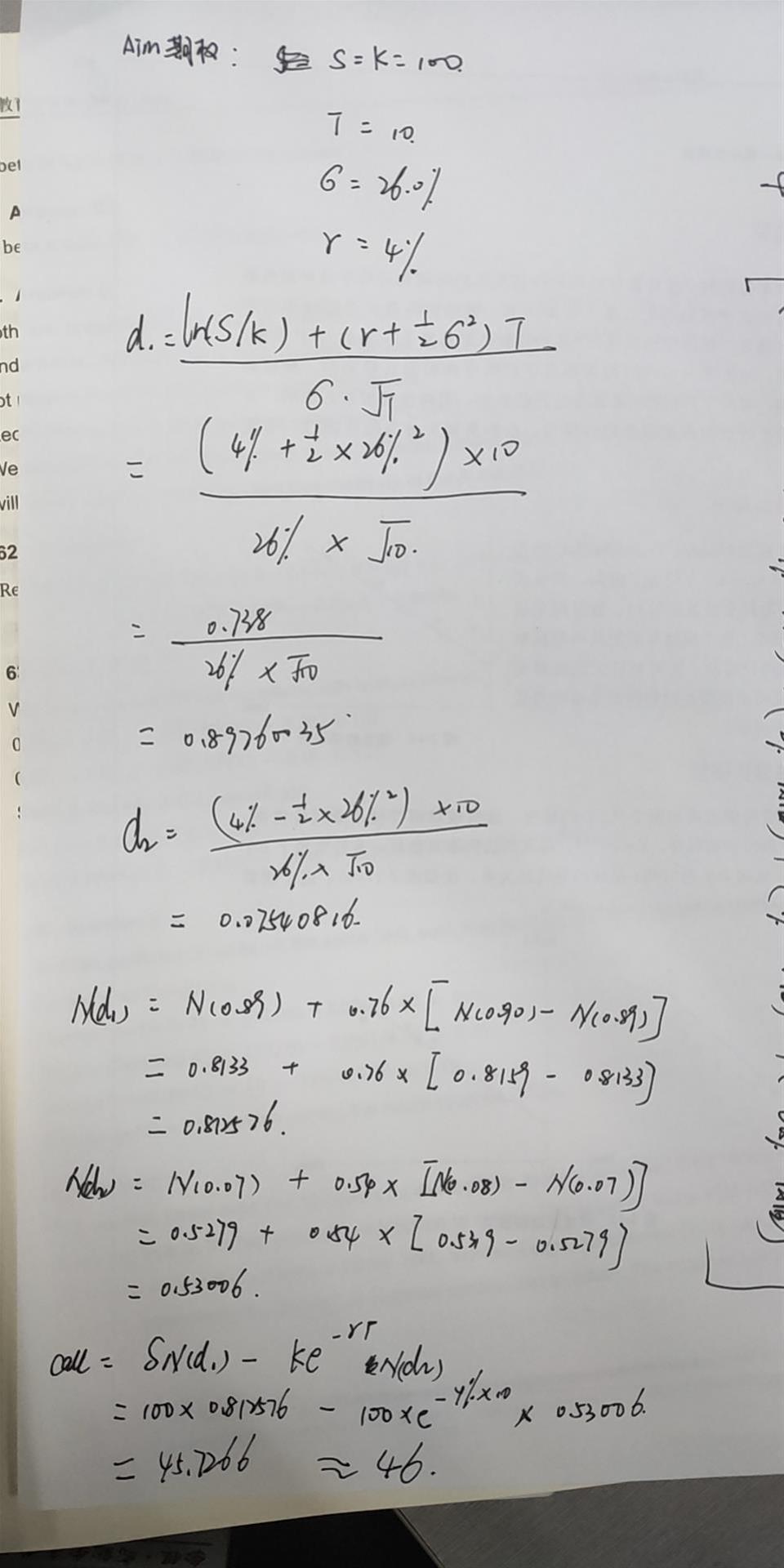
同学你好,如图。
这个46算的是每个期权的价值。
因为这里是:2m个options。所以总成本是:每个期权的cost*2m个
- 评论(0)
- 追问(0)
评论
0/1000
追答
0/1000
+上传图片



