王同学2020-08-07 15:56:46
请问远期定价这里,如果不是连续复利,一年付息几次对公示影响吗?
回答(1)
Adam2020-08-07 17:46:23
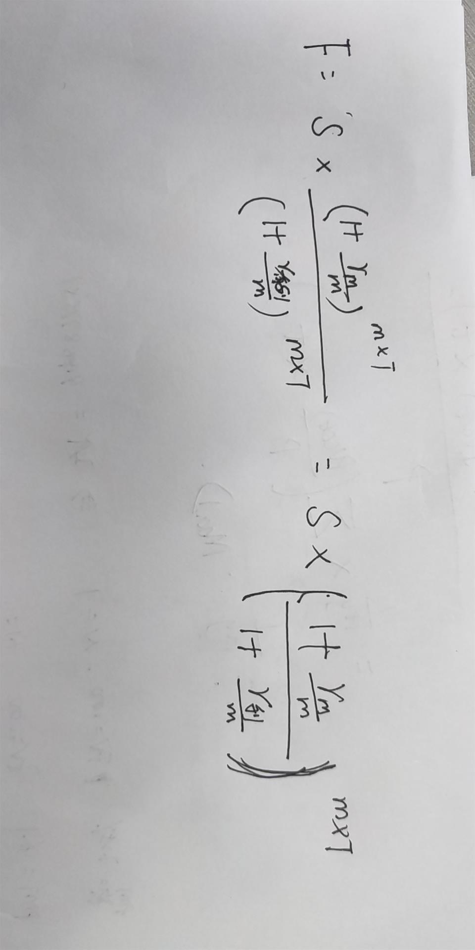
同学你好,远期定价当中,一般都是假设的利率是按年复利的。
但然如果做了特别要求,说这个利率是一年复利几次。对公式稍微有点影响。如下
- 评论(0)
- 追问(3)
- 追问
-
那请问这种怎么变呀?
- 追问
-
这个
- 追答
-
如下
评论
0/1000
追答
0/1000
+上传图片





