马同学2020-08-04 10:41:26
老师,我想问一下这个variance是怎么推出来的呢
回答(1)
Jenny2020-08-04 17:34:33
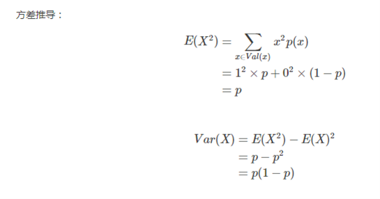
同学你好,推导过程见附图。考试并不要求推导过程,这个公式也不复杂,所以直接记住就好。
- 评论(0)
- 追问(0)
评论
0/1000
追答
0/1000
+上传图片


