18****662020-08-02 16:45:32
请问异方差既然不影响参数,即bi,为什么能够影响bi的标准误,进而影响t检验统计量呢?
回答(1)
Jenny2020-08-03 10:22:50
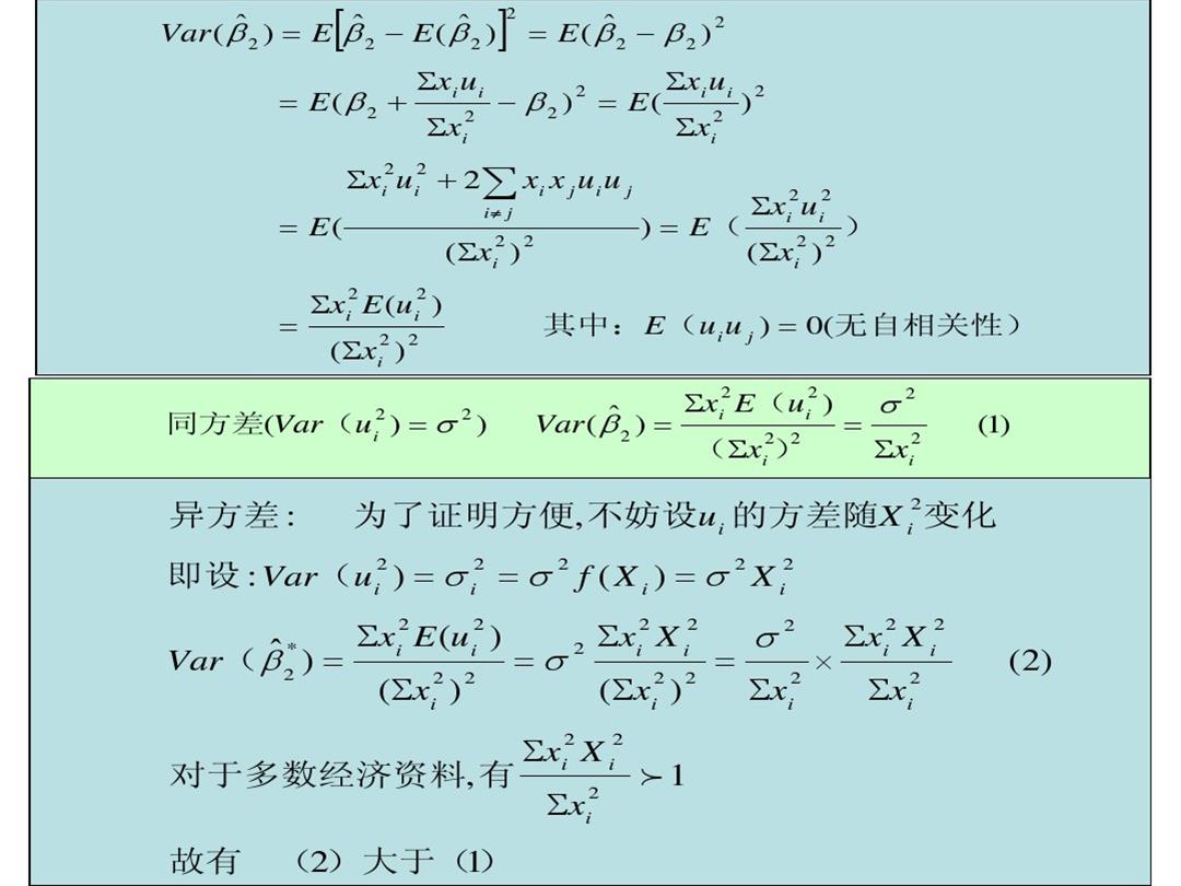
同学你好,异方差的存在会使系数的方差增大,进一步增大系数标准误,从而影响了t检验统计量。具体证明过程见附图,因为不在考纲要求范围内,所以简单参考即可。
- 评论(0)
- 追问(0)
评论
0/1000
追答
0/1000
+上传图片

