Bruce2020-07-31 09:07:44
请问老师2.66和1/2.66这两个数值怎么解读,为什么会有2.66倒数呢, 谢谢
回答(1)
Jenny2020-07-31 17:46:50
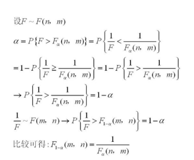
同学你好,这个是F分布的倒数性质,常用来求F分布表中未列出的常用的上α分位点。这个并不在官方教材范围里,所以以下证明仅供参考。
- 评论(0)
- 追问(2)
- 追问
-
谢谢老师耐心回答,这里还有个问题,附图中说f test是单尾检验,但是我们前一个感觉有双尾的可能,希望老师帮我理一下,f检验什么情况下可以双尾检验呢?感谢
- 追答
-
同学你好,首先,我们要知道回归方程的F检验这个统计量是怎么构造的,即检验方程中若干参数估计为零“H0:b1=b2=...=bk=0. 这个F检验的实质是比较原model(记为Unrestricted model, U)和H0成立下的新model(记为restricted model, R)的SSE (sum of squared error) 的差距,也可以从公式上看:F=(SSE[R]-SSE[U])/(k)/SSE[U]/n-(r+1)
所以,如果这个差大到一定程度的话,我们就认为原假设是不成立的。
注意,SSE[R]是一定大于等于SSE[U]的,因为Unrestricted model的fittness肯定是比较好的。所以实质上只可能有单侧的情况出现, 及当F>F(a)(critical value)时,我们拒绝原假设.
评论
0/1000
追答
0/1000
+上传图片



