18****252020-07-28 13:08:29
这个地方是不是讲错了,payoff等于几,为啥是premium的下线。讲反了吧,后续的讲解又是基于这部分,后面是不是都讲错了
回答(1)
Adam2020-07-28 18:29:11
同学你好,这里没有讲的稍微有点问题
如果你不太理解的话,可以切换一下老师,换个老师听一听,看看符不符合你的听课习惯。
是这样的
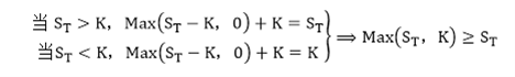
假如说现在有一个看涨期权,看涨期权到期时的收益可以写成Max(ST-K,0)。在做组合构造的时候,通常会在后面再加上一笔固定的现金,使它的到期收益做简化。这种考量,使得最终构造出来的组合,是一个看涨期权加上一笔固定的现金投资,这是期初的情况。
那么期末的收益,对于看涨期权来说就是Max(ST-K,0),而对于这笔固定的现金投资,期末价值就是按无风险利率进行累计,最终价值就应该是K。那么,当标的资产价格大于K的时候,这个组合的收益就应该是ST。当标的资产价格小于K时,看涨期权不行权,组合价值就应该是K。所以,它的收益可以写成一个怎样的形式?如下图
当ST大于K时,取ST。当K大于ST时,取K。所以,可以简单的写成Max(ST,K)。到期的收益Max(ST,K)是大于等于ST的。到期时的收益是这样的情况,那么它的期初价值的变化应该是同样的情况。所以,期初是一个看涨期权加上一个固定现金的投资,应该是大于等于S0。这个是根据期末的收益,推出期初的收益情况。
因此可以得出它的下限应该是什么呢?就是一个看涨期权的价值应该是大于等于S_0-Ke^(-rT)。当然,一个看涨期权的价值应该也是大于等于0的,所以它的下限就是Max(S_0-Ke^(-rT),0)。这个是根据组合构造出来的。
- 评论(0)
- 追问(0)
评论
0/1000
追答
0/1000
+上传图片


