xy2020-07-26 12:26:05
这两张PPT 张的公式为什么不一样,我感觉第二页ppt上的标准误不应当就是第一页开根么,为什么分母变成了δcap的平方,同时分母从Sx的平方变成了Sxcap的平方,Ux的平方也多了cap?
回答(1)
Jenny2020-07-27 12:02:29
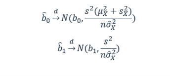
同学你好,谢谢你的反馈。这个地方,之前的讲义确实是写错了,已经纠正过来了,正确写法请见附图。同学可以在资料下载那里下载最新的ppt。很抱歉给你带来了不便,如果还有类似问题,随时欢迎指正。
- 评论(0)
- 追问(2)
- 追问
-
这个就是从最新的讲义里截的,改的是哪一页啊?还有如果分母调整为δcap的平方,为什么分子从Sx的平方变成了Sxcap的平方,Ux的平方也多了cap?
- 追答
-
同学你好,讲义更新的问题我会跟后台反馈的,这个更改的公式对应的是你发的第一页ppt,只变动了分母,分子没有变。而第二页ppt是正确的,并没有改动。
评论
0/1000
追答
0/1000
+上传图片



