青同学2020-07-22 11:34:54
这个为什么要乘2
回答(1)
Adam2020-07-22 19:50:54
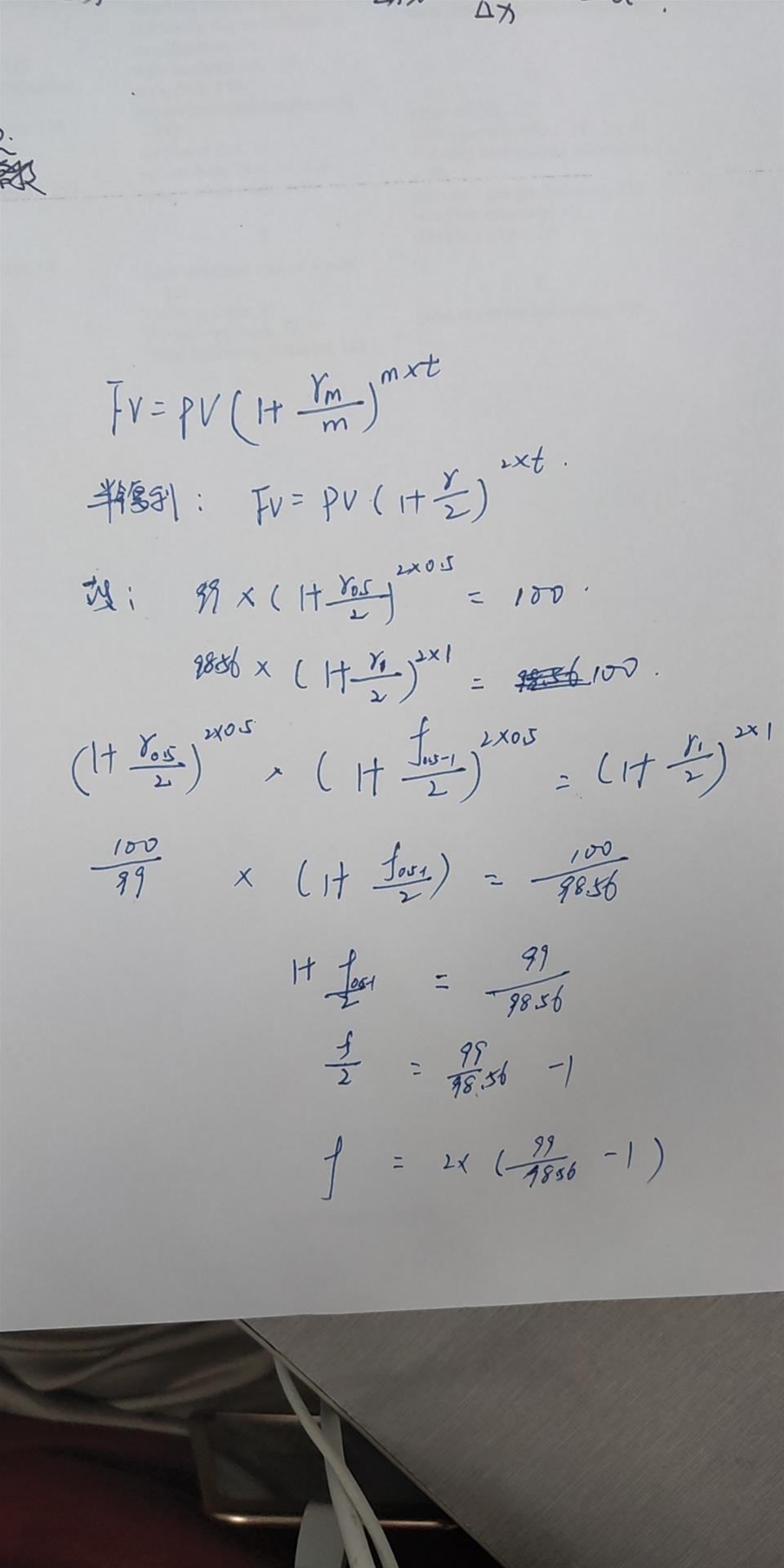
同学你好,这题应该是默认的利率是半年复利的。
- 评论(0)
- 追问(2)
- 追问
-
我一直以为forward rate是哪段就是那一段的利率,所以说forward rate也是以年? f0.5—1 的含义是什么呢
- 追答
-
同学你好,对的,都是年化的利率。
F0.5-1指的是:从0.5年后开始到1年截止的远期利率(年利率)
评论
0/1000
追答
0/1000
+上传图片



