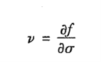
青同学2020-07-21 17:17:36
请问vega的符号是怎么样的,讲义上没写
回答(1)
Adam2020-07-21 17:55:32
同学你好,vega符号如下
- 评论(0)
- 追问(2)
- 追问
-
他的正负号呢
- 追答
-
他的正负号(对于看涨看跌),与gamma(对于看涨看跌)是一样的
评论
0/1000
追答
0/1000
+上传图片

