138***912020-07-21 16:39:29
如果sita大于0,呈现trend,这不是就不符合协方差平稳了吗?
回答(1)
Jenny2020-07-21 17:28:15
同学你好,你的理解是对的,但这里的persistent的意思就是trend一直存在,也就是不平稳。
- 评论(0)
- 追问(2)
- 追问
-
但是上面说MA模型always协方差平稳,怎么理解
- 追答
-
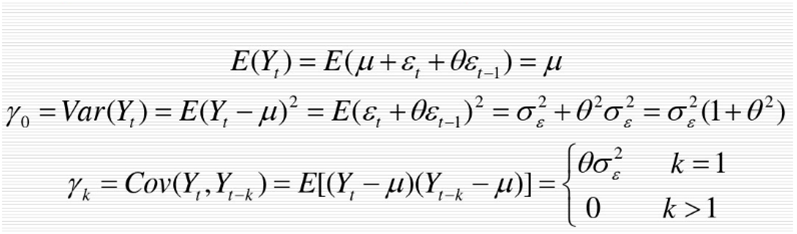
同学你好,不好意思,之前没注意到是MA模型,这里把persistent直接理解为trend不是很严谨,老师这里说的trend跟我们之间说的那个trend不太一样,这句话的意思是如果θ为正,那么εt-1和yt之间存在正相关,即ε和yt之间同增同减,那么冲击对yt的影响就更持久(这是老师说的trend的意思,和前面跟t相关的trend不太一样),yt就比较难回归到均值。MA是协方差平稳,这里还是比较好理解的,因为MA可以看成是历史白噪声的线性组合,当然也有严谨的数学证明。以MA(1)模型举例,它的均值、方差以及协方差分别是:(请见附图)。这个三个值都与时间无关,是不随时间变化的常数,所以MA模型是协方差平稳的。这个也可以推导到MA(q),同样的,均值、方差、协方差都与时间无关(考试不会涉及到公式推导,这里就不展开了)。
评论
0/1000
追答
0/1000
+上传图片


