杨同学2020-07-19 18:18:46
资本市场线推导到证券市场线时,σp/σm如何推导为Cov(p,m)/σ2m
回答(1)
Adam2020-07-20 17:55:05
同学你好,
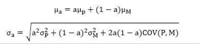
假设构造一个投资组合,其中包含a份任意资产或资产组合P,还有(1-a)份有效资产M,其中M在资本市场线CML上,令μ_a,σ_a分别代表投资组合的预期收益率和方差,μ_M和σ_M分别代表资产M的预期收益和方差,那么这个组合的期望的收益与方差分别为:如图1
当a=0时,即投资组合全部投资于资产M,根据均值—方差模型,此时的投资组合曲线必然与资产M所在的CML线相切,此时投资组合在a=0点的斜率等于M所在的CML线斜率。即:图2
- 评论(0)
- 追问(0)


评论
0/1000
追答
0/1000
+上传图片