莱同学2020-07-07 17:14:55
z2-1.8z+0.8=0 咋来的
回答(1)
Jenny2020-07-07 18:21:21
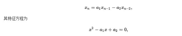
同学你好,这里是有公式,公式详见下图,公式里是用z表示x,其他都是一样的,这里a1=1.8,a2=0.8, 带进去就可以得到z^2-1.8z+0.8=0
- 评论(0)
- 追问(1)
- 追答
-
另外,在前面的内容其实学过了特征方程的通式,见下图,因为滞后多项式为1-1.8L+0.8L^2,即p=2, fai 1=1.8, fai2= -0.8, 代入通式就可以得到z^2-1.8z+0.8; 这个通式是要记住的哦。
评论
0/1000
追答
0/1000
+上传图片



