周同学2020-07-06 09:34:26
对于这个公式有一些疑问,分母里面算variance为什么样本量也是T-h呢,感觉分子分母的样本量不同 不能直接约分掉,希望老师解答下,谢谢
回答(1)
Jenny2020-07-06 12:23:10
同学你好,这里看原版书的公式或许会更好理解一些,分母其实是样本y的标准差和样本y滞后h期的标准差的乘积,对于滞后h期的标准差来说,样本量是T-h,对于样本y的标准差来说,样本量是T;但他们都是来自同一组数据,所以标准差的期望值和样本量无关,都是sqrt(𝛾 ̂_0),所以ppt这里就直接简写了,分母是𝛾 ̂_0。这里其实不涉及约分,𝛾 ̂_ℎ表示的是样本y滞后h期的协方差,𝛾 ̂_0表示的是样本y的方差。
- 评论(0)
- 追问(7)
- 追问
-
老师你好 我上面相对的是sample autocorrelation 不是你给的那个population的autocorrelation
- 追问
-
看了原版书之后 感觉老师上课讲解的好像有些出入 分母应该是1/(T-h),但是分子应该是1/T, 只是因为T足够大,所以这两个才近似相等吧?
- 追答
-
同学你好,在你最开始给的那个公式里,其实分子应该是1/(t-h), 协方差是E(Yt-E(yt))(Y_t-h -E(y_t-h))的乘积,每一组是一一对应的,Y_t-h的n是t-h,所以yt应该也只截取了t-h个数,在分子的极值符号那里也可以看出来他其实是从h+1开始计数的。而分母的话,如果是T-h就不是很有道理,可以告诉我具体是哪位老师讲的吗?以及大致的视频位置。这边核实确认之后给你回复可以吗?
- 追问
-
老师你好,是在五月份的基础课程中 周琦老师第二本书的stationary time series(平稳时间序列)那一节1小时17分的样子
- 追答
-
同学你好,首先之前授课老师这里说的是对的,分子和分母都是除以t-h;附图里面会用一个具体的例子来说明。在计算分母中的样本方差的时候,它跟协方差对应,只截取了x1到x5, 而不是x1到x7。
- 追问
-
老师你好 你给的解题步骤我清楚了!我就是想问下为什么原版书包括讲义上这个sample correlation里面分母部分它没有像老师你给的一样分别算两组数据的方差,然后下面我给的图上原版书的解释也是drop T,并不是drop T-h诶
- 追答
-
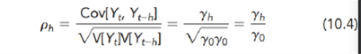
同学你好,上面那个10.4的截图是population的自相关系数,之前以为你问的是这个;你截图里的那个公式是样本的自相关系数;另外,你的反馈确实提出了一个很好的问题,我在翻阅原版书后,确实在计算分母的时候用T组数(对应的也就是除以T)会比T-h组(对应的也就是除以T-h)要好,虽然这两个在样本量比较大的时候很接近,但数组更多就能接近真实值,我跟授课老师也讨论过了,还是以原版书为准,即分母是除以T的。最后,再次感谢你的反馈和指正。
评论
0/1000
追答
0/1000
+上传图片




