加同学2020-07-01 22:18:17
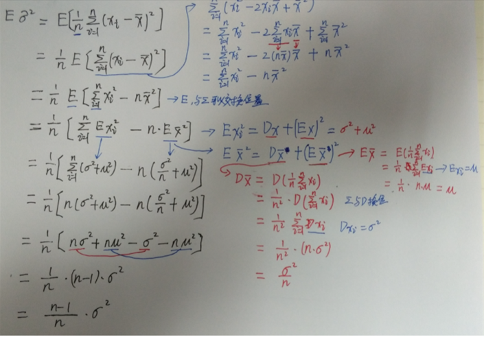
为什么样本方差的期望等于n-1/n✖️总体方差?能具体推导一下吗?
回答(1)
Jenny2020-07-02 17:33:54
同学你好,为了更清晰地展示推导过程,请参考附图。考试不会考推导,所以建议直接记公式即可哦。
- 评论(0)
- 追问(0)


评论
0/1000
追答
0/1000
+上传图片