天堂之歌

听歌而来,送我踏青云〜

您现在的坐在位置:首页>智汇问答>FRM问答

Bruce2020-06-28 17:59:03

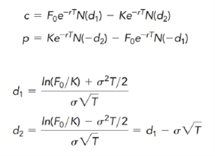
请问这个结论从公式方面怎么去理解,谢谢

回答(1)

Adam2020-06-30 16:14:28

同学你好,这个说的还是前面的内容哦

  • 评论(0
  • 追问(0
评论

精品推荐

评论

0/1000

追答

0/1000

+上传图片

    400-700-9596
    (每日9:00-21:00免长途费 )

    ©2026金程网校保留所有权利

    X

    注册金程网校

    验证码

    同意金程的《用户协议》
    直接登录:

    已有账号登录