雎同学2020-06-24 17:45:44
不知道书上的公式怎么来的,烦请老师赐教
回答(1)
Cindy2020-06-24 17:58:05
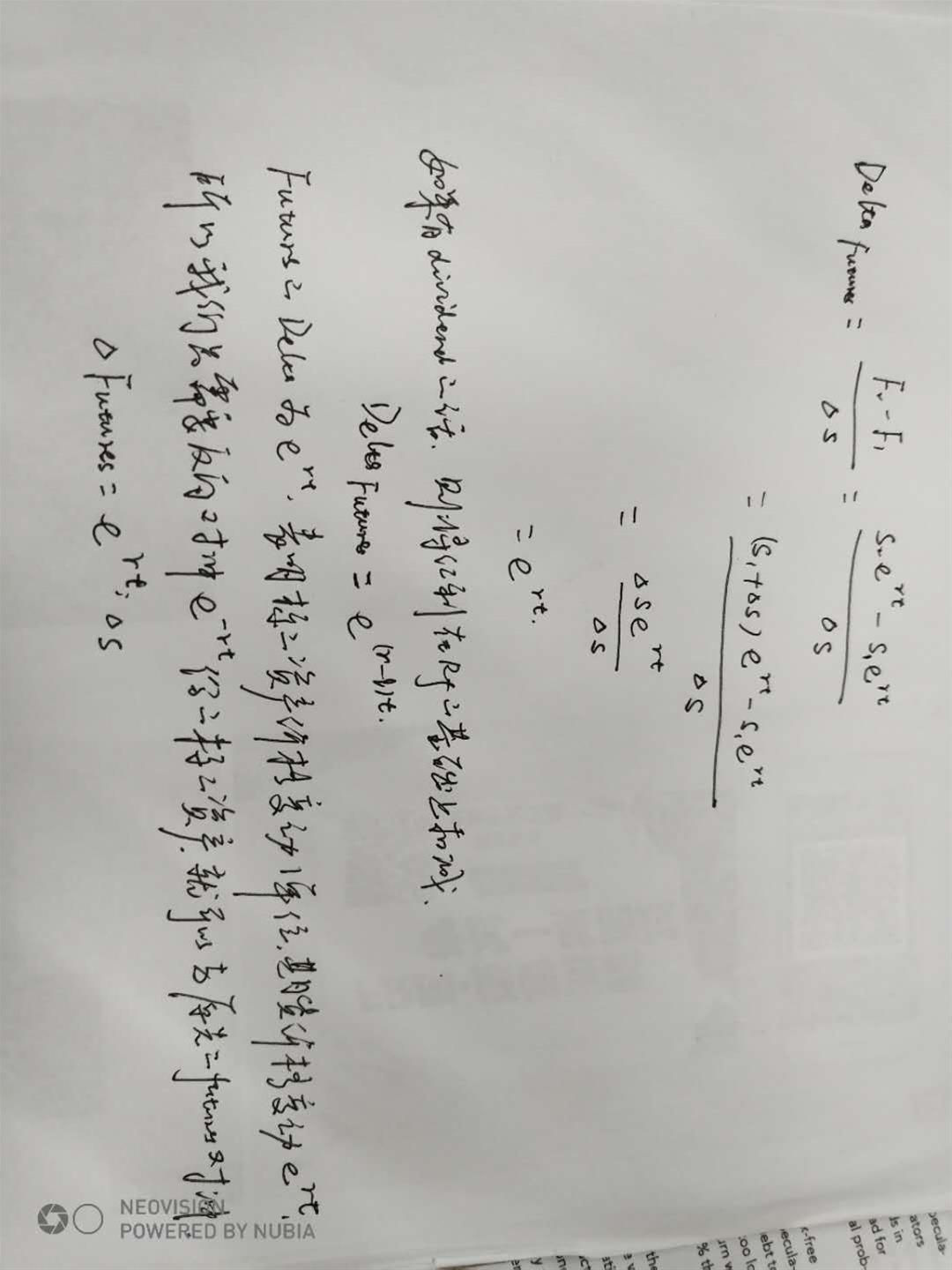
同学你好,对于初学者而言,这个难度有点大呀,咱们其实可以在强化复习的时候再去推导这个公式哦,具体过程如下,
- 评论(0)
- 追问(0)
评论
0/1000
追答
0/1000
+上传图片


