曾同学2019-09-29 02:25:00
能详细解释一下565题么?
回答(1)
Adam2019-09-29 17:36:47
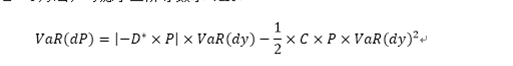
同学你好,这题就是在求期权的VaR
var的定义是某种极端情况下的损失
这里虽然没有提及损失,但说了extreme move。所以认为是标的资产是有的var
不然就没有办法做了
var=100000*2-0.5*50000*2^2
- 评论(0)
- 追问(0)
评论
0/1000
追答
0/1000
+上传图片


