冰同学2019-09-27 15:40:47
为什么在持有至到期和无在投资风险时YTM=实际收益率
回答(1)
Adam2019-09-27 17:15:42
同学你好。在投资是收到的利息无法以期初约定的利率进行投资
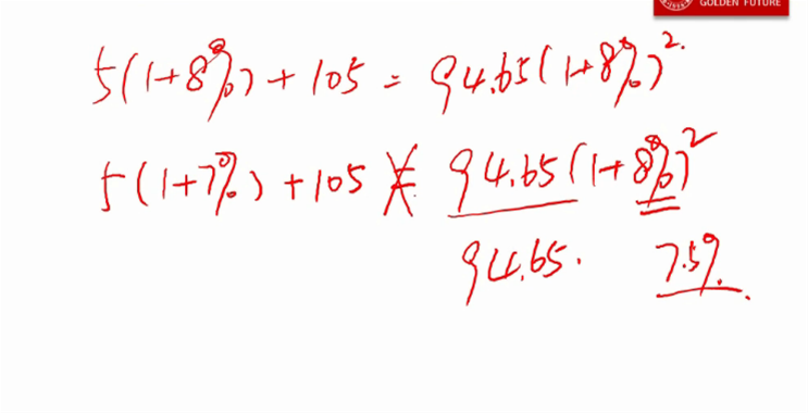
这个老师又讲过的。看下图
5*(1+8%)+105代表的是一年时收到的5以8%的利率进行投资、在第二年时拿到105
相当于期初我以94.65进行2年投资。获得的实际收益率就是8%
如果市场利率下降,见图2
以7%在投资,是不等于由标的式子的
实际上是94.65*(1+7.几)^2.。实际收益率是变低了的
这些老师在上课时讲过的
- 评论(0)
- 追问(0)
评论
0/1000
追答
0/1000
+上传图片


