玖同学2019-09-25 16:40:35
请问上行指数和下行指数应该如何算?
回答(1)
Adam2019-09-26 14:00:11
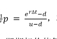
同学你好,看下图
注意是2步二叉树。所以delta t=0.25
u=1.2(价格上涨20%)
d=0.8(价格下跌20%)
- 评论(0)
- 追问(0)
评论
0/1000
追答
0/1000
+上传图片


