Tortoiseba2019-09-17 23:25:52
老师你好,麻烦讲解一下340题
回答(1)
最佳
Adam2019-09-19 10:46:06
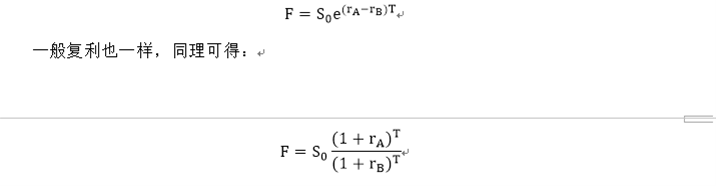
同学你好,这个就是远期汇率的计算
首先根据所给的存款利率分别求出usd与eur2年期的远期利率
根据利率平价公式,计算外汇远期价格
这题其实不是很严谨。我们新的题库上没找到这个题,应该是已经删除了
- 评论(0)
- 追问(0)
评论
0/1000
追答
0/1000
+上传图片



