雎同学2019-09-12 10:18:03
请问老师哪里错了?
回答(1)
Crystal2019-09-12 10:57:22
35%的概率他是一个条件概率,而不是一个联合概率,所以是不对的。
再者,你看呀,如果中间部分的概率是35%,最外面的概率是95%,那么概率之和不是大于1了吗
- 评论(0)
- 追问(5)
- 追问
-
我这个假设的是A违约的概率是X。不明白我列的方程错哪了
- 追答
-
这个式子你错在0.35,在你的式子中或者你的图中0.35表示的是一个联合概率,但是在题干中给出的0.35是一个条件概率,所以你做错了。
- 追问
-
那正确的解法怎么做?
- 追问
-
这个题是选B吗?我的方程解出来答案是对的呀?
- 追答
-
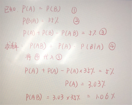
这个题目的正确答案确实是b,但是你的计算方式是不对的,如果是一样的答案应该是碰巧。正确的过程如图:
评论
0/1000
追答
0/1000
+上传图片



