回答(1)
黄石2026-04-20 10:13:41
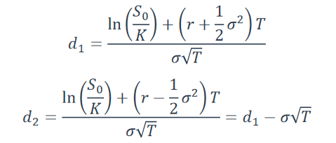
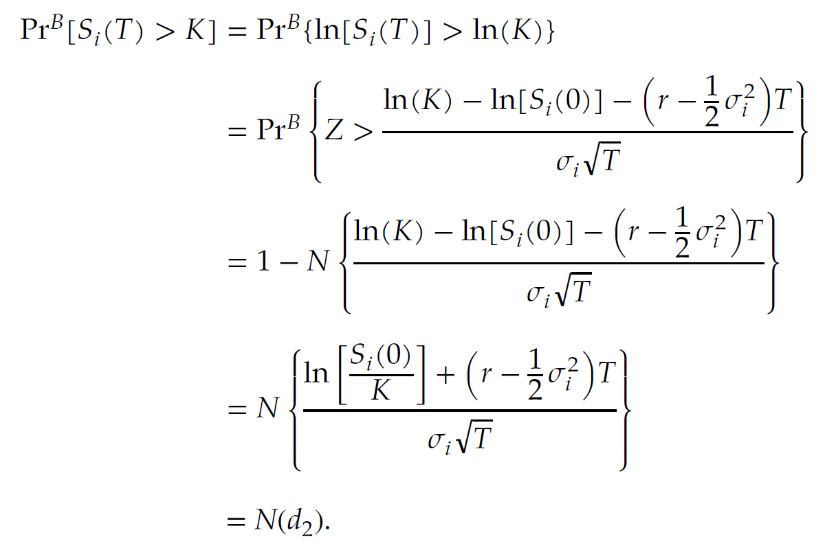
同学你好。BSM模型公式中用的是当前的股票现货价格,一般题目也只会给到你当前的股票现货价格。到期时的股票价格如果题目给的话会明确指出,而且到期股票价格是一个随机变量,我们当前在对期权进行定价的时候是不知道其具体取值的。对于d2和d1之间的大小关系,见下图图1。N(d2)是风险中性世界下St > K的概率,这是因为在风险中性世界下,dS = rSdt + σSdW,基于伊藤引理推导可得此时ln(ST) ~ N[ln(S0) + (r - 0.5σ^2)*T, σ^2*T]。因此,Pr(ST > K) = Pr[ln(ST) > ln(K)] = N(d2)。这个推导见下图图2。
- 评论(0)
- 追问(0)
评论
0/1000
追答
0/1000
+上传图片


