136****33312026-03-28 11:06:41
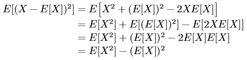
求X方差为什么用的这个红圈公式?前面哪里有推导过吗?我记不太清楚了,可以麻烦再推导一次,以及告诉我前面哪个章节哪个时间介绍这个公式的?
回答(1)
黄石2026-03-30 14:05:48
同学你好。见下图。这段内容是在“随机变量(下)”这一节的24分钟左右讲的。
- 评论(0)
- 追问(0)
评论
0/1000
追答
0/1000
+上传图片
136****3331

