天堂之歌

听歌而来,送我踏青云〜

您现在的坐在位置:首页>智汇问答>FRM问答

秦同学2026-03-05 22:57:43

老师,可以再讲一下B选项吗

查看试题

回答(1)

黄石2026-03-09 15:12:49

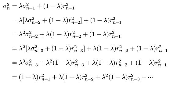
同学你好。见下图推导。由于λ的取值范围在0和1之间,故随着r^2变得越来越久远,其在计算方差时的权重会呈现出指数下降。

  • 评论(0
  • 追问(0
评论

精品推荐

评论

0/1000

追答

0/1000

+上传图片

    400-700-9596
    (每日9:00-21:00免长途费 )

    ©2026金程网校保留所有权利

    X

    注册金程网校

    验证码

    同意金程的《用户协议》
    直接登录:

    已有账号登录