天堂之歌

听歌而来,送我踏青云〜

您现在的坐在位置:首页>智汇问答>FRM问答

秦同学2025-09-21 23:25:22

老师,请问standard error的这个计算公式在讲义哪里出现过?好像没看到

查看试题

回答(1)

黄石2025-09-23 20:00:39

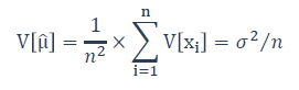
同学你好。该公式相关内容于基础课104页首次出现,见下图。标准误可被视作标准差的一个子集,专指样本估计量(如样本均值估计量、OLS估计量等等)的标准差。104页的公式给到的是样本均值估计量的方差,开根号即可得到其标准差,也就是样本均值标准误。

  • 评论(0
  • 追问(0
评论

精品推荐

评论

0/1000

追答

0/1000

+上传图片

    400-700-9596
    (每日9:00-21:00免长途费 )

    ©2026金程网校保留所有权利

    X

    注册金程网校

    验证码

    同意金程的《用户协议》
    直接登录:

    已有账号登录