
-
CFA问答
CFA问答包含CFA在线课程、CFA通关课程、CFA试题等所有CFA相关问题,每个问题老师均会在24小时内给出答疑回复哦!
专场人数:0提问数量:0
老师 您好:在transaction with associates阶段,我看到讲义P25页上说,upstream的profit记录在联营公司I/S中,而down stream中,profit记录在investor的I/S中。但看到例题example2(P26-27页)上,realized profit都是记录在investor的I/S中的。这儿怎么理解?
已回答讲义235页的内容,原版书课后题401页第4题第5题第6题。均有涉及,该知识点讲的不够深刻,内在原理和目标没说清楚,只顾在那儿说怎么算……听的晕不拉叽的……导致后边这三道题云里雾里搞不清楚,很崩溃。
已回答老师好, 有两个问题请教: 问题1: 请看下图第17题,根据题干,只能确认HC model肯定是不适用的,但是在Revaluation和FV model下,loss都是计入I/S的,那凭什么确定这公司是采用的FV model而非revaluation model呢? 问题2: 有道题目是关于在建工程interest expense资本化的,题干提到公司A通过两种方式融资,一是借钱要给利息,一是通过发优先股要给Dividend。最后问的是有多少利息费用可以资本化,但是解答过程中,答案中提到优先股相关成本是无法资本化的。所以我的问题是,为什么优先股相关的成本就无法资本化呢?上课的时候这部分内容没有提到。谢谢。
optimal CAL线: 是从 Rf开始画一条线,与EF 相交,其中最高的那个切点叫 opt CAL 也就是说 optimal CAL 是一个risk free asset 。这个切点叫optimal risky protfolio 为啥 没有risk free asset ? 权重是0
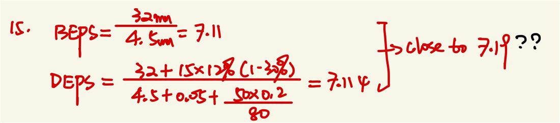
老师好, 下图第15题,关于DEPS,不知道为什么我做出来结果不正确(图2为我的计算过程)。 答案中是把DEPS for bond和DEPS for option分开计算的,得出DEPS是anti-delutive的,就不包含在内了;仅计算了DEPS for option if executed,且option影响分母的数量是75000,与我计算出来的125000也不一致。请老师解惑,谢谢。
原版书课后题360页第5题。本题的三个Statement,1和3看来该企业产品很有竞争力,业务质量很好,所以第2个Statement收入增长很好,也是正常的呀。本题选b,有点儿吹毛求疵,鸡蛋里挑骨头的感觉。 第10题:360页第1行的11亿美元的其他非经营性费用,为什么不作为非经常性费用呢?虽然题干也说仅仅这样合并,处置子公司与重组费用作为非经常性损益,非经营性损益补贴应当作为非经常性损益吗??? 第11题,本题有瑕疵,资本化的100million,他肯定也有折旧吧。本题也应该减100加折旧,没有考虑折旧因素。是本题设计的一个瑕疵吧??
已回答既然是on her behalf推送的投资讯息,也就相当于她自己发的。对应读者也可以视为潜在客户。答案的逻辑清楚,但不认可。 假设这样一个场景,没有所谓的第三方分发,就是analyst自己分发,那么这两部分人群获取更新后信息的顺序又是怎么样的呢?
查看试题 已回答精品问答
- Effective duration和Effective convexiy的公式为什么不用modified duration和convexity的原本公式,而是和他们的近似的久期和突性的公式一致?
- Risk Budget and risk parity 第二道思考题,里面的Variance是不是完全是个冗余信息,给来误导的呀?
- liability relatibe asset allocation这三种方式的区别是什么呀 怎么区分
- 为什么半年付息 算ytm是乘以2 而年化的麦考利久期是除以2
- 为什么长期垄断竞争中 D和ATC相切
- Growth due to capital deepening 是αΔK/K还是ΔK/K
- m上升 EAR为什么上升 以及为什么又不变
- 为什么TC 的切点对应是AVC的最低点?









