温同学2024-02-17 20:10:23
这里面答案的回答 the shocks of volatility arise from unexpected large or small returns,怎么理解?另外,答案提到coeffients 是正数且不太大,文章中并没有说呀?这个是怎么推理得出的呢?能不能直接简单答:ARCH model是基于时间序列的预测波动、风险的模型,基于过去的波动率和shocks来预测当前的volatility,因此包含time variation和capture observed clustering呢?
回答(1)
Johnny2024-02-20 16:41:09
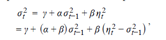
同学你好,shock就是让人震惊的意思,那么未预料到的大小收益所导致的波动率就是一种shock。这里所说的coefficient就是下图公式中的α,β和γ,这三个数都是正的,而且α+β<1,可见这些系数都不太大。该公式就是simplest ARCH model
你的回答也可以,转换成英文后符合原意即可
- 评论(0)
- 追问(0)
评论
0/1000
追答
0/1000
+上传图片


