Jerry2024-02-11 23:05:50
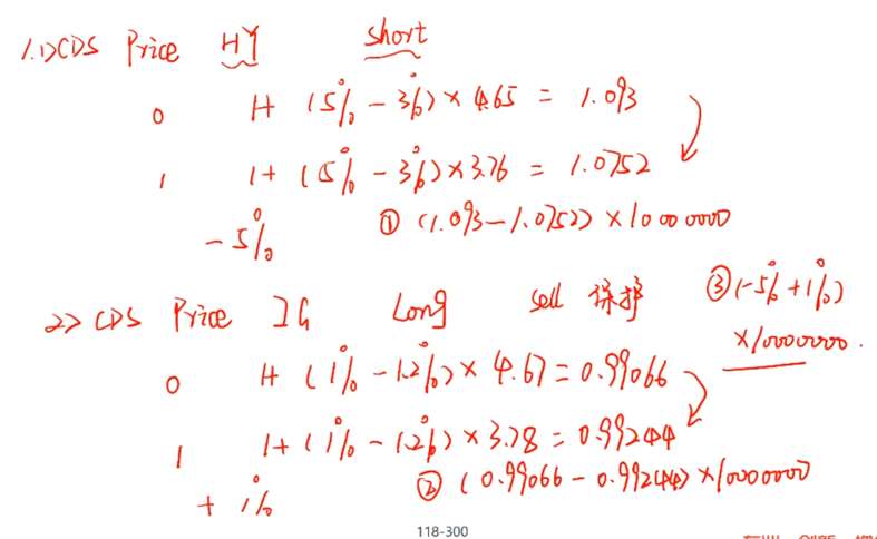
CDS的计算我感觉很少用到1+(1%-CDS)*D这个公式,常用的基本就是(1%-CDS spread)×Duration,但是example种有用到CDS price公式,到底什么情况使用哪种公式?
回答(1)
最佳
Tom2024-02-12 12:40:29
同学您好,二者的区别在于:“1 + (Fixed Coupon − CDS Spread) × EffSpreadDurCDS”这个公式用于计算CDS price,即CDS在银行间市场的报价;但CDS price并不是实际支付的对价,支付对价=(Fixed Coupon − CDS Spread) × EffSpreadDurCDS。考试时看题目要求计算的是哪一个即可。
- 评论(0)
- 追问(2)
- 追问
-
但是我看见example里面有用到CDS price报价这种用法,还是用来对CDS的盈亏进行计算,我困惑的点在于:既然只是一种报价形式而不是实际支付的金额,为什么还能拿来计算盈亏?而且基础班里面讲的题目都是直接拿ΔCDS spread×effective duration来计算盈亏,两种算法有什么区别,担心考试时候不知道用哪种
- 追答
-
同学您好,在计算盈亏时,两种算法得出的结果是一致的。在example中,两个头寸都是用CDS price计算,所以是否+1对最后的结果没有影响。两种计算方式都是可以的。
评论
0/1000
追答
0/1000
+上传图片



