天堂之歌

听歌而来,送我踏青云〜

您现在的坐在位置:首页>智汇问答>CFA三级

Wolf2024-02-11 09:31:09

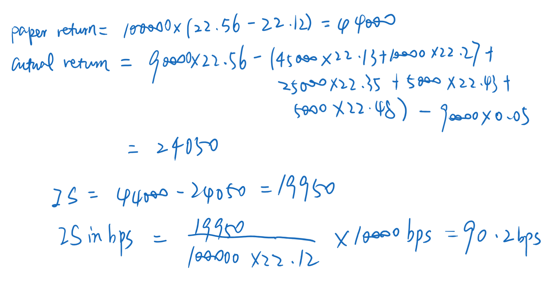
老师第三题,如果用paper return - actual return应该怎么算?我用的这个方法算的,答案对不上。

查看试题

回答(1)

开开2024-02-17 20:19:50

同学你好,我算出来是一样的哦。计算过程如下图

如果答疑对你有帮助,【请采纳】哟~。加油,祝你顺利通过考试~

  • 评论(0
  • 追问(0
评论

精品推荐

评论

0/1000

追答

0/1000

+上传图片

    400-700-9596
    (每日9:00-21:00免长途费 )

    ©2026金程网校保留所有权利

    X

    注册金程网校

    验证码

    同意金程的《用户协议》
    直接登录:

    已有账号登录