139****67842024-02-07 20:06:34
Part D , 答案解释的没看懂想表达什么。
回答(1)
最佳
Johnny2024-02-10 15:31:43
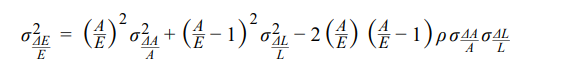
同学你好,题目问的是哪个方法最能减少自由资金的波动率。这个知识点可以参考冲刺笔记的表格汇总,或者基础段讲义最后一个知识点的大表格,就是讲述各因素对于equity波动率的影响。可以看出如果资产和负债的久期匹配了,那么资产和负债变动幅度的相关性就会提升,既然A和L都同向变动,E的波动率就会下降。否则万一A和L是反向变动的话那么E的变化幅度就会很大。
也可以从equity方差公式中可以看出,如果资产和负债收益的相关度ρ越大,那么等式右边减去的那一项就越大,所以等式左边equity的方差就会越小。
- 评论(0)
- 追问(0)
评论
0/1000
追答
0/1000
+上传图片



