鸡同学2024-02-05 02:12:48
这个在没有shock的情况下为什么系数是α+β呢?
回答(1)
最佳
Johnny2024-02-05 11:04:50
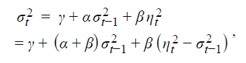
同学你好,可以参考下图推导,下面那个等式就是上面式子的基础上减一个β×上一期方差再加一个β×上一期方差,右边的nt^2-上一期方差就是shock,现在是shock为0,但是左边的系数依旧是α+β不变
- 评论(0)
- 追问(0)
评论
0/1000
追答
0/1000
+上传图片


