红同学2024-01-24 13:59:11
最后一问,分子分母分别怎么我确定?
回答(1)
最佳
Simon2024-01-25 11:26:46
同学,上午好。
此题是通过截图公式来判断出分子和分母的。
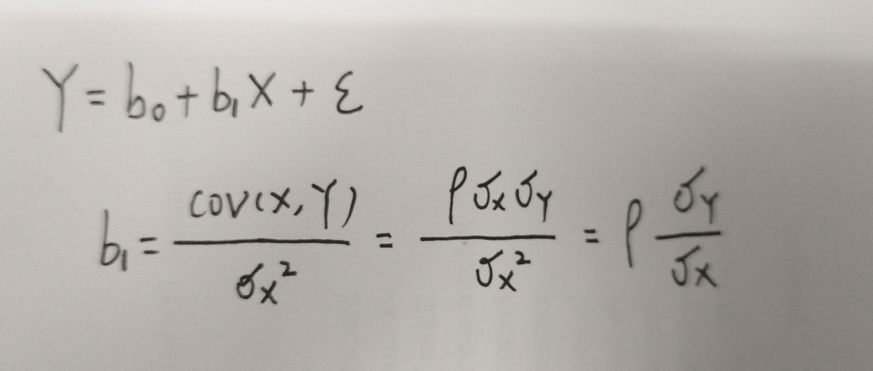
minimum variance hedge本质上是也是单元回归 Y= b0 + b1×X + ε:
Rdc = b0 + b1×△%外币汇率 + ε。
其中b1=ρ×σ(Y)/σ(X),而在这里就是b1=ρ×σ(Rdc)/σ(△%外币汇率)
- 评论(0)
- 追问(0)
评论
0/1000
追答
0/1000
+上传图片



