韩同学2024-01-01 11:50:30
我记得之前讲,宽松的财政政策会影响长期利率,导致长期利率上升。为什么这里不适用了?
回答(1)
Johnny2024-01-02 10:43:25
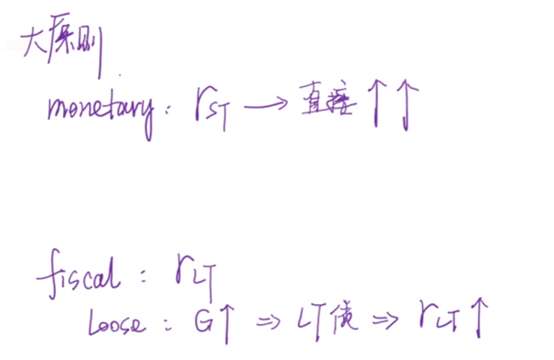
同学你好,可以参考下图。在分析政策对名义利率的影响时,宽松财政政策会影响提高实际利率,这里并没有区分长短期。而在分析政策对yield curve的影响时,货币政策对yield curve的影响较为明确,而财政政策对其影响是不确定的
- 评论(0)
- 追问(2)
- 追问
-
1.在这道题里,宽松财政政策下,政府会发行长期债券,难度这不会拉高长期利率,进而影响yield curve shape吗?
2.我专门把基础班金程老师在基础班讲的截图找出来了,上面明显写的是宽松财政政策提高长期利率。为什么你截图的讲义上确实fiscal policy对收益率曲线影响unclear。如何理解这种不一致?
- 追答
-
同学你好,你这个截图应该是23版基础课的内容,24版讲义已经把这一页给删了,以上面冲刺笔记给出的内容为准
评论
0/1000
追答
0/1000
+上传图片




