贝同学2022-03-26 08:51:18
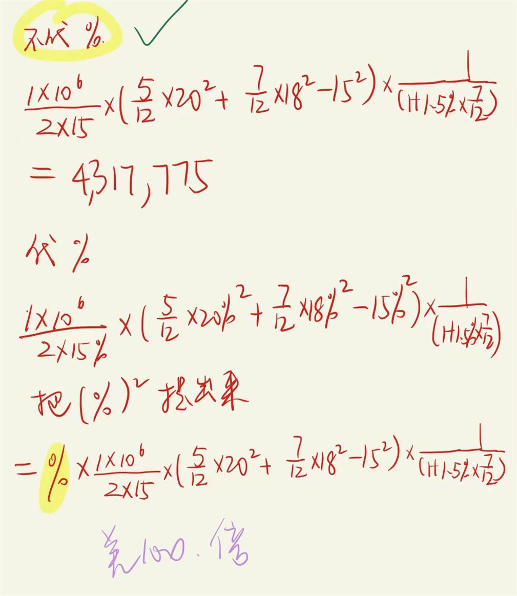
老师课后题56页15题:如果用不去百分号计算:1000000/2*15%*(20%^2*5/12+18%^2*7/12-15%^2)/(1+1.5%*7/12)=43287.89,这样算为什么不对?
回答(1)
最佳
开开2022-03-28 18:29:09
同学你好,在variance swap的计算中,标准差请忽略百分号。因为variance swap的定价就是约定不带入%的计算出来的。否则会差100倍(参考下图)。
其次,同学你可能是算错了,按照你这个算,应该是43177.75。比正确答案小100倍。
- 评论(0)
- 追问(0)
评论
0/1000
追答
0/1000
+上传图片

