天堂之歌

听歌而来,送我踏青云〜

您现在的坐在位置:首页>智汇问答>CFA三级

曾同学2022-02-23 15:09:44

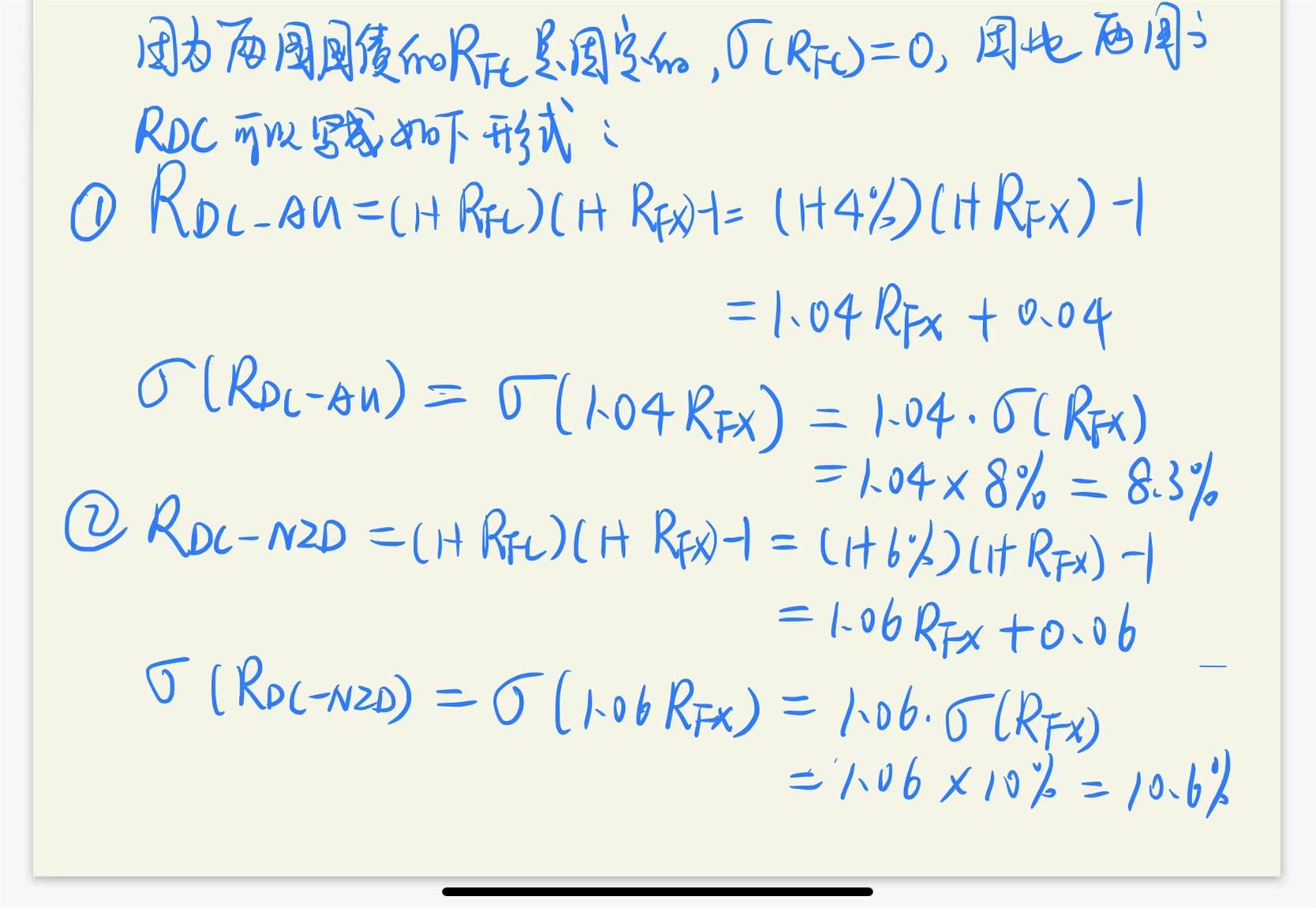
请教r10的例题7,打问号这里的计算不懂。

回答(1)

开开2022-02-23 21:58:09

同学你好,计算过程可参考下图。

  • 评论(1
  • 追问(0
评论

精品推荐

评论

0/1000

追答

0/1000

+上传图片

    400-700-9596
    (每日9:00-21:00免长途费 )

    ©2026金程网校保留所有权利

    X

    注册金程网校

    验证码

    同意金程的《用户协议》
    直接登录:

    已有账号登录