穆同学2022-01-14 14:07:52
怎么画矩形?
回答(1)
最佳
Nicholas2022-01-14 17:22:35
同学,下午好。
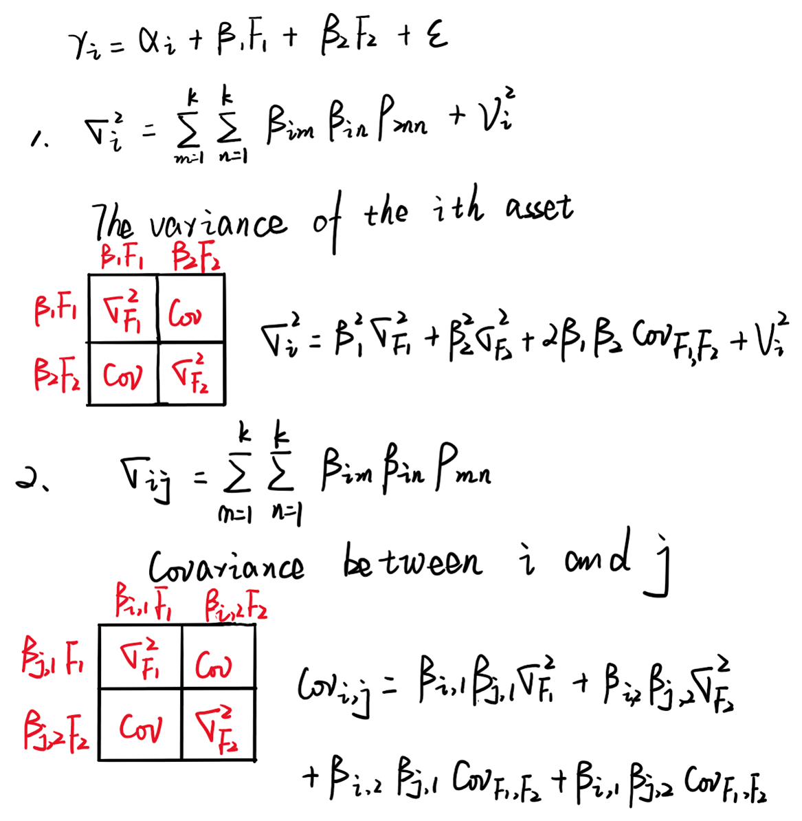
如图。
请【点赞】哟~。相信同学能够顺利通过考试,加油~
- 评论(0)
- 追问(0)
评论
0/1000
追答
0/1000
+上传图片

