穆同学2022-01-14 14:07:45
老师,这个公式…
回答(1)
最佳
Nicholas2022-01-14 17:22:14
同学,下午好。
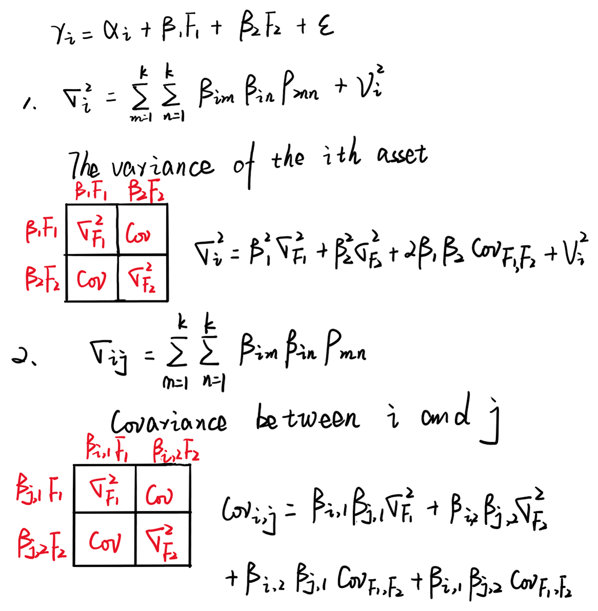
这个公式不用记的。同学可以看下老师授课的部分,应该有跟大家推导过协方差矩阵的计算与理解,也就是我们遇到类似的题目直接画出协方差矩阵即可,公式可以直接推导出来。如下图
请【点赞】哟~。相信同学能够顺利通过考试,加油~
- 评论(0)
- 追问(0)
评论
0/1000
追答
0/1000
+上传图片


