锦同学2021-10-26 19:18:34
老师,这里不用考虑资产对于市场的BETA是多少吗?像CAPM模型那样。还是说只要简单把无风险收益和几个风险溢价加起来就可以
回答(1)
Nicholas2021-10-27 14:58:10
同学,下午好。
麻烦问下具体是哪个题目,方便为同学解答问题,谢谢。
- 评论(0)
- 追问(2)
- 追问
-
CME的CASE3第4题
- 追答
-
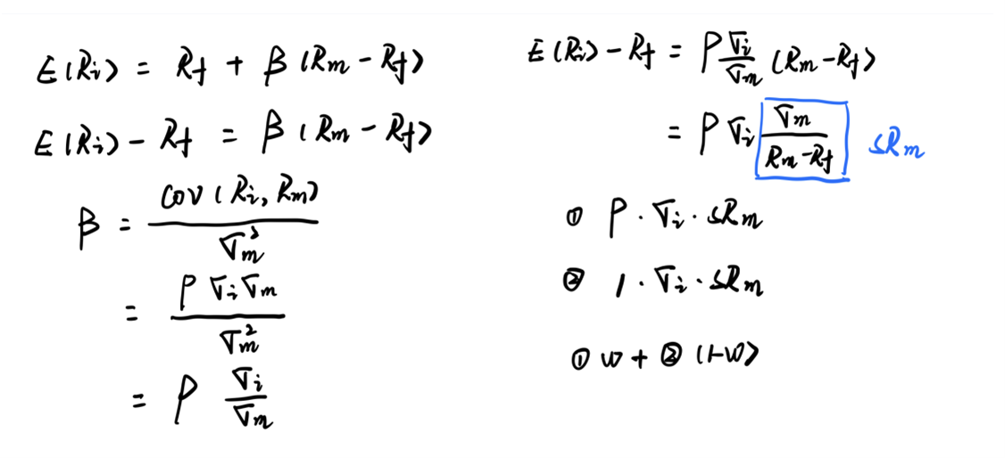
同学,早上好。
这里是将β拆解了,如图。
请【点赞】哟~。相信同学能够顺利通过考试,加油~
评论
0/1000
追答
0/1000
+上传图片

