陈同学2021-10-15 04:57:08
老师,能简单介绍一下VCV matrices from multi-factor model是啥吗?
回答(1)
Nicholas2021-10-18 17:19:57
同学,下午好。
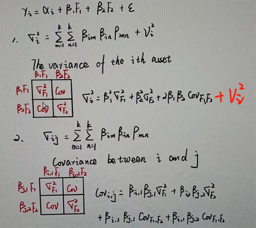
1.我们在构建组合的时候,可以用风险因子和对应的敏感程度构建组合,即factor和β;
2.那么假设单个资产的回报率可以用两个factor来解释,则现在我们需要计算该资产的回报率公式中,对应的协方差是多少,即用两个因子的协方差矩阵来计算协方差即可。
具体的计算可以直接套用协方差矩阵计算,将问题简化,如图。
请【点赞】哟~。加油,祝你顺利通过考试~
- 评论(0)
- 追问(0)
评论
0/1000
追答
0/1000
+上传图片

