西同学2021-09-18 11:02:44
老师,你好,R25第一个CASE第4题这是用的哪个公式?
回答(1)
Nicholas2021-09-21 17:04:47
同学,下午好。
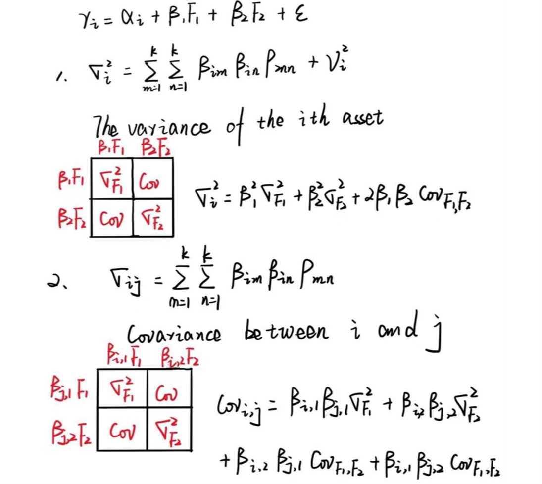
这个公式实际上就是协方差矩阵,具体公式见截图。
如果构建组合用的是各自的权重和回报率,那么可以用权重和方差计算;
如果构建组合用的是各自的β和factor,那么可以用β和方差计算。逻辑相同,即协方差矩阵公式,我也把好理解的方式画在了图中,供参考。
烦请【点赞】。加油,祝你顺利通过考试~
- 评论(0)
- 追问(0)
评论
0/1000
追答
0/1000
+上传图片




