万同学2021-09-16 21:07:55
为什么at the money时,delta call=0.5?
回答(1)
Chris Lan2021-09-17 21:22:34
同学你好
这里可以当结论来记。
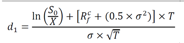
原理的话,你可以基于二级BSM模型的d1的公式,
如果S=X ,log(S/X) 就是 0 , 剩下那项值很小,所以d1接近于0 ,而N(d1)是其正态分布累计概率密度函数,在正态分布均值这一点上,正好是整个钟型面积的一半,因此其累计概率为接近0.5。
而N(d1)就是delta,所以delta可以近似的等于0.5.
- 评论(0)
- 追问(0)
评论
0/1000
追答
0/1000
+上传图片

