用同学2020-11-14 10:26:52
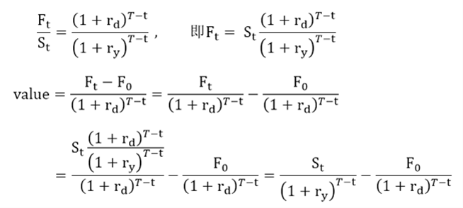
请问老师为什么53:36时间点 老师说如果现在是t时点,公式是这样的呢?如图 主要不明白 第一项St是什么意思,它的折现率为什么要用外币的利率来折现,而第二项ST就是用本币利率来折现?
回答(1)
Kevin2020-11-16 13:07:45
同学你好!
t时点的估值,可以签一份反向合约,看两个合约的差值折现回当前时点,就是合约的value。
如图所示。
致正在努力的你,望能解答你的疑惑~
如此次答疑能更好地帮助你理解该知识点,烦请【点赞】。你的反馈是我们进步的动力,祝你顺利通过考试~
- 评论(0)
- 追问(0)
评论
0/1000
追答
0/1000
+上传图片


