大同学2020-11-13 14:12:12
老师这个没到期的公式想不起来了 可以讲一下吗?
回答(1)
Kevin2020-11-13 14:51:24
同学你好!
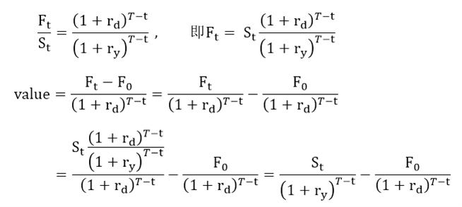
t时点的估值,可以签一份反向合约,看两个合约的差值折现回当前时点,就是合约的value。
如图所示。
致正在努力的你,望能解答你的疑惑~
如此次答疑能更好地帮助你理解该知识点,烦请【点赞】。你的反馈是我们进步的动力,祝你顺利通过考试~
- 评论(0)
- 追问(0)
评论
0/1000
追答
0/1000
+上传图片


