张同学2020-10-14 06:16:31
老师原版书课后题reading32第4题a文怎么做
回答(1)
Kevin2020-10-14 12:06:31
同学你好!
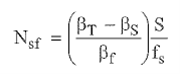
这道题首先就是调整股票和债券的权重,通过债券调整为synthetic cash,再转为股票。
权重调整完成后,再调整beta和duration。计算公式就是书上的公式,调权重时是针对差额部分,调beta和duration是针对全部的股票和债券。
btw,建议用最新版的原版书哈,衍生这部分变化还是很大的。
致正在努力的你,望能解答你的疑惑~
如此次答疑能更好地帮助你理解该知识点,烦请【点赞】。你的反馈是我们进步的动力,祝你顺利通过考试~
- 评论(0)
- 追问(0)
评论
0/1000
追答
0/1000
+上传图片



