Orange2026-01-06 02:01:46
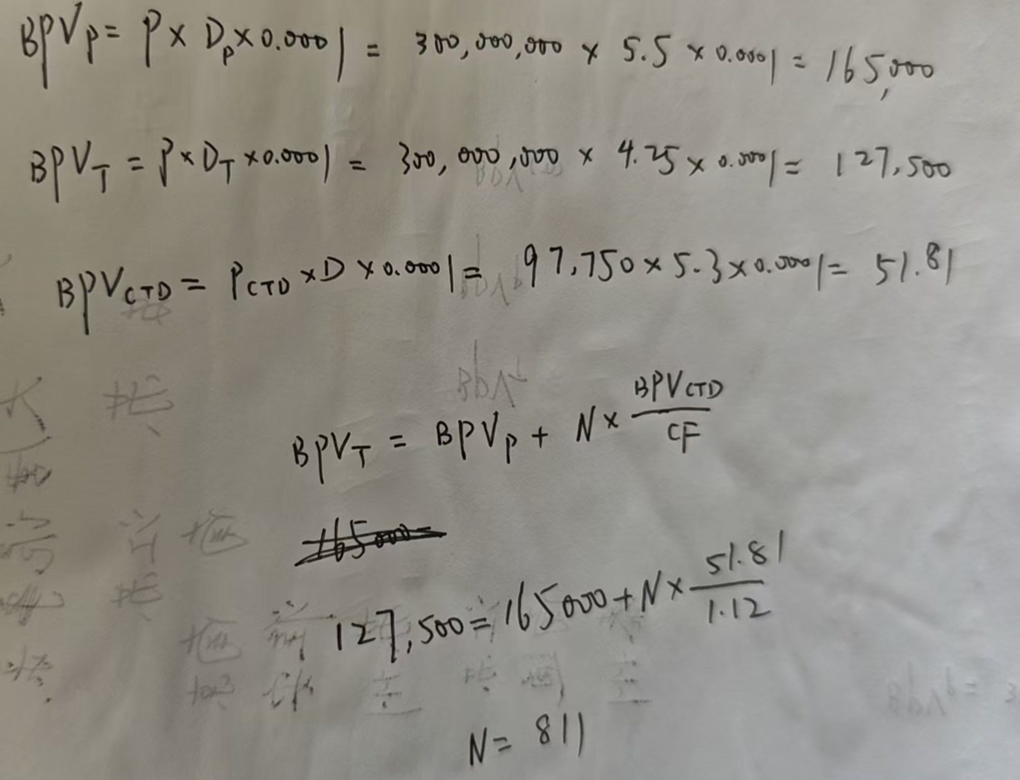
你好老师,麻烦用BPV的公式解答一下第二题,老师用的公式没见过。
回答(1)
最佳
Simon2026-01-10 12:01:31
解法见截图
- 评论(0)
- 追问(0)
评论
0/1000
追答
0/1000
+上传图片
Orange
